Chemical Formula | O Level Chemistry 5070 & IGCSE Chemistry 0620 | Detailed Free Notes
Topics:
- Chemical Formula
- Valency
- Radicals
- Writing Formula
- Using Names
- Using ratio of atoms
- Relative Atomic Mass (Ar)
- Relative Molecular Mass (Mr)
- Relative formula mass
- percentage mass of an element in a compound
- Empirical formula
- Calculating Molecular formula using empirical formula and Mr
- Chemical Equations
- Law of Conservation of Mass
- Ionic Equations
- State symbols in equations
- Avogadro’s number
- Molar Mass
- Molar gas volume
- Formula 1: Moles by mass
- Formula 2: Volume of Gas
- Formula 3: Number of particles
- Formula 4: Moles using concentration
- calculate percentage purity
Chemical Formula:
Chemical formula is the symbolic representation of an atom, ion, radical, molecule and a compound. Some symbolic representations have been used early on to get familiar with this concept such as Oxygen (O2) and Carbon dioxide (CO2). For example:
- Atoms: Na, H, Cu, O
- Ions: (atoms with a charge): Na+1, Ca+2, Cl-1
- Radical (combined molecules with charge): OH-1, SO4-2, NH4+1
- Molecule: H2O, CO2, O2
- Compound: H2O, CO2, NaCl
Valency:
Valency is the combining power of an atom
Radicals (Important):
Nitrate- NO3-1, Hydro oxide- OH-1, Sulphate- SO4-2, Carbonate- CO3-2, Hydrogen Carbonate- HCO3-1, Hydrogen Sulphate- HSO41-
Writing Formula:
- Writing formula has the same way as discussed, for example, in ionic bonding. We cross the valencies of the molecules, atoms, ions or radicals to get a chemical formula.
- Writing formulae is not as difficult since we have already seen the chemical symbols of the first 20 elements in the periodic table along with their electronic configuration. The configuration guides as to what their valence electron are and hence what their valency would be.
Example using names:
If we are making Calcium Nitrate.
- Calcium has a valency of 2+ since it is in the group 2 of the periodic table and has two valence electrons. So, calcium has the capacity to gain 2 electrons.
- Nitrate has a valency of 1-.
- Hence by crossing the valencies without their signs, we get Ca (NO3)2.
Example using Ratio of Atoms:
The number of atoms given in a molecule as Calcium: Sulphur: Oxygen = 1:1:4
- We know that Sulphur and oxygen form a radical known as Sulphate containing one Sulphur and 4 oxygen, hence these atoms can represent a sulphate radical.
- Calcium has a valency of 2+ and sulphate has a valency of 2- hence one Calcium atom can combine with one Sulphate radical to form Calcium Sulphate.
- Hence, this compound is Calcium Sulphate.
Relative Atomic Mass (Ar):
As discussed in the previous chapters, the atomic mass of an element is the combined average mass of its isotopes based on their abundance. This is the mass that we see in the periodic table against each element as well.
Relative Molecular Mass (Mr):
Relative molecular mass is the total mass of a compound. We find the Mr of one molecule of a compound by finding relative formula mass.
Relative Formula Mass:
Relative formula mass is the sum of the masses of the atoms in a compound and is equal to the relative molecular mass.
Example:
If we are to calculate the relative molecular mass of Calcium Nitrate Ca (NO3)2:
- we will first look at what atoms it contains. It contains Calcium, Nitrogen and Oxygen atoms with the quantity 1,2 and 6 respectively.
- Note that the bracket is multiplied since we are having two nitrate atoms and hence, double the number of Nitrogen and oxygen in Calcium Nitrate.
- Next, we look up the relative atomic masses of each of these atoms: Calcium has an Ar of 40g, Nitrogen has an Ar of 14g and Oxygen has an Ar of 16g.
- Now we multiply and add our individual masses with their number of atoms in the compound to get the final relative molecular mass. So: 40 + 2(14) + 6(16) = 40 + 28 + 96 = 164g.
- Hence, the Mr of Calcium Nitrate is 164g.
Percentage mass of an element in a compound:
If we are to calculate the percentage mass of a specific element in a compound, we divide the mass of that particular element with the Mr and multiply it by 100.
Example:
Calculating percentage of carbon and hydrogen in Methane gas. Methane has a formula CH4
- Carbon has one atom and an Ar of 12g whereas hydrogen has 4 atoms in the molecule and an Ar of 1g.
- The Mr of Methane is 12 +4(1) = 16g.
- The percentage of carbon in Methane is 12/16 *100 = 75%.
- The percentage of Hydrogen in Methane is 100-75 = 25%.
Empirical Formula:
Empirical Formula shows the minimum ratio between the atoms of a compound’s formula. For example: in water we have the simplest ratio of 1 oxygen and two hydrogen, H2O. In case of Ethane gas, which has a formula of C2H6, we have a ratio of 2:6 for carbon and hydrogen. In this case the empirical ratio will be 1:3 and the empirical formula will be CH3.
Finding Empirical Formula:
In order to calculate empirical formula, we have to follow three main steps:
- Divide the percentage or mass with the Ar of the elements.
- Find the simplest ratio. (by dividing all ratio with the smallest one and rounding off)
- Get empirical formula.
Example:
Carbon= 75%, Hydrogen=25%
- Since we have percentages, we divide the percentages with the Ar od the elements:
- 75/12: 25/1
- 25:25
- Now we simplify the ratio by dividing all ratio with the smallest ratio, which in this case is carbon’s
- 25/6.25 :25/6.25
- 1:4
- Hence, we know that there is one carbon atom and 4 hydrogen atoms, making the empirical formula to be CH4
Calculating Molecular formula using empirical formula and Mr:
In case we have the empirical formula and the Mr of a compound, we can calculate the molecular formula by calculating the empirical formula mass and dividing Mr with it. The number we get is ten multiplied to the empirical formula to get molecular formula.
Example:
We have an empirical formula = CH3 and an Mr= 30g
- Calculating empirical mass: 12 (carbon) + 3(1 -hydrogen) = 15g.
- Now we divide Mr with 15g and we get 2. This means the molecular formula is twice that of empirical formula
- Multiply 2 with the empirical formula and we get the molecular formula: 2 (CH3) = C2H6
Chemical Equations:
Whenever a reaction takes place, we can write it in the form of a chemical equation. The left-hand side of an equate shows the reactants and the right-hand side shows the products.
Reactants:
Substances that take part in a chemical change
Products:
Substances that are produced as a result of the chemical change.
Example:
Reaction of Calcium carbonate with hydrochloric acid:
- Calcium carbonate has a symbol CaCO3 and Hydrochloric acid has a symbol, HCl
- They react to form calcium chloride salt with carbon dioxide and water.
- Hence, the reactants are calcium carbonate and hydro-chloric acid and the products are calcium chloride, water and carbon dioxide.
- The equation will be: CaCO3 + HCl → CaCl2 + H2O + CO2
- This equation is not balanced.
Law of Conservation of Mass:
Mass is neither created nor destroyed but t changes from one form to another. Hence, the mass on both sides of an equation should remain the same.
Balancing equations:
Balancing equations mean ensuring that the mass on both sides of the equations remain the same. IN order to do this, we have to follow simple steps:
- Note down the number of atoms of each element on both sides of the equation.
- Add coefficients to the molecules that have a lower number on any side of the equation. Update other elements that get effected.
- Carry the process until equation is balanced with equal number of atoms of each element on both sides.
- MAKE SURE, you do not alter the chemical formula of the compound. Only balance using the coefficients in the equation.
Example:
Consider the previous example: CaCO3 + HCl →CaCl2 + H2O + CO2 Here we have a perfect equation for a reaction wit reactants and products. The only thing left is to balance the equation.
- Start by noting down the number of atoms of each element on both sides
- Reactants:
- Carbon:1
- Calcium:1
- Hydrogen:1
- Chlorine:1
- Oxygen:3
- Products:
- Carbon:1
- Calcium:1
- Hydrogen:2
- Chlorine:2
- Oxygen:3
- As we can see, all the other elements are balanced except hydrogen and chlorine. Hydrogen and chlorine are more on the product side as compared to the reactants and so we increase the number of HCl molecules as reactants to balance the equation by doubling them:
- CaCO3 + 2HCl → CaCl2 + H2O + CO2
- Now we can see that the number of atoms on both sides is balanced and the law of conservation of mass holds.
- Reactants:
Example 2:
Consider this equation of the reaction between copper and Sulfuric acid. Cu+ H2SO4 → Cu SO4 + H2O + SO2
- Let’s note down the number of atoms on each side:
- Reactants:
- Copper:1
- Hydrogen:2
- Sulphur:1
- Oxygen:4
- Products:
- Copper:1
- Sulphur:2
- Hydrogen:2
- Oxygen:7
- We can start by balancing the number of Sulphur on both sides. For this we add 2 with our reactant acid:
- Cu+ 2H2SO4 → Cu SO4 + H2O + SO2
- Note that this DOES NOT balances the equation and we still need to check for the atoms on both sides.
- Reactants:
- Copper:1
- Hydrogen:4
- Sulphur:2
- Oxygen:8
- Products:
- Copper:1
- Sulphur:2
- Hydrogen:2
- Oxygen:7
- Our hydrogen and oxygen still need to be balanced and hence we will add a 2 with water to balance the entire equation:
- Cu+ 2H2SO4 → Cu SO4 + 2H2O + SO2
- Now the equation is completely balanced.
- Reactants:
- Reactants:
Ionic Equations:
Sometimes, we only represent equations in the form of ions that are taking part in a reaction. The substances that do not take part and have the same form in the beginning and end of the reaction are called spectator ions.
Example:
When sodium and chlorine form sodium chloride, the ionic equation will be as follows:
State Symbols in equations:
We also add the states of matter in the equation in subscript to show what the form of the substance was before and after the reaction. These will be further explored in acids and salts section but as an example, if we are reacting hydrochloric acid with sodium metal, we will get the following equation:
- This means that initially, we added a solid metal strip to a solution (aqueous) of hydrochloric acid,
- After the reaction, the salt sodium chloride remains in an aqueous/solution form and hydrogen is released as a gas.
Mole:
- Mole is the quantity of a substance that contains Avogadro’s number of particles.
- To understand this concept, think about a “dozen”. We know that when we say a dozen eggs, there are 12 eggs. If we say a pair of boots, we know that there will be 2 boots to form a pair. These are all measurements of a specify number. Similarly, if we take a specific number 6.022 x 1023 (Avogadro number) and create a measurement, it is called mole.
- This means that when we say 1 mole, we are referring to 6.022 x 1023 much quantity of anything.
- In chemistry, this is the quantity of atoms/molecules/particles.
Avogadro’s Number:
The huge number 6.022 x 1023 is called the Avogadro’s Number and is represented by NA.
Molar Mass:
The mass of one mole of a substance.
Molar Gas Volume:
One mole of any gas at room temperature and pressure has 24dm3 of volume that is called molar gas volume.
Formula 1: Moles by Mass:
Since we know that the mass of Ar or Mr is for one mole of a substance, we can divide any given mass by the Ar/Mr to find the number of moles in that given mass.
Example: Number of moles in Carbon dioxide (2g):
Example: Number of moles in 0.2g of Water:
Formula 2: Volume of gas:
Since one mole has a volume of 24dm3, we can find volume of any amount of gas by multiplying this with the amount.
Example: Volume of 2 moles of Carbon dioxide:
Example: Number of moles in 25cm3 of Carbon dioxide:
Formula 3: Number of particles:
Example: Number of molecules of water in 0.22 moles:
Formula 4: Moles using concentration:
Note that the concentration has to be in moles/dm3; hence, if the concentration is in grams, we will convert it using Formula 1.
Example: Number of moles of 0.1 mole/dm3 of 25 cm3 volume of liquid:
Calculating percentage purity:
In order to calculate percentage purity, we use the following formula:
Theoretical yield is the amount that we calculate as the result of an equation using the formulas. Practical yield is the amount produced by actually performing the reactions in a lab etc.
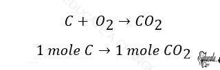
Example:
If 1.2g of carbon burns in the presence of oxygen, 4.2g of carbon dioxide is produced. Find the percentage purity of Carbon dioxide.
- The first step will be to calculate the theoretical yield since we are given the practical yield as 4.2g.
- To calculate theoretical yield, we form the equation of the reaction:
- Next, we check for the balance of the equation. This is already a balanced equation.
- Now, we check the relation between the moles of carbon and carbon dioxide:
- Since one mole of carbon is 12g and one mole of carbon dioxide is 44g, we can say that:
- We find out that if we had 1.2 g of carbon, 4.4g of carbon dioxide should have been produced.
- Now, we calculate the purity:
















